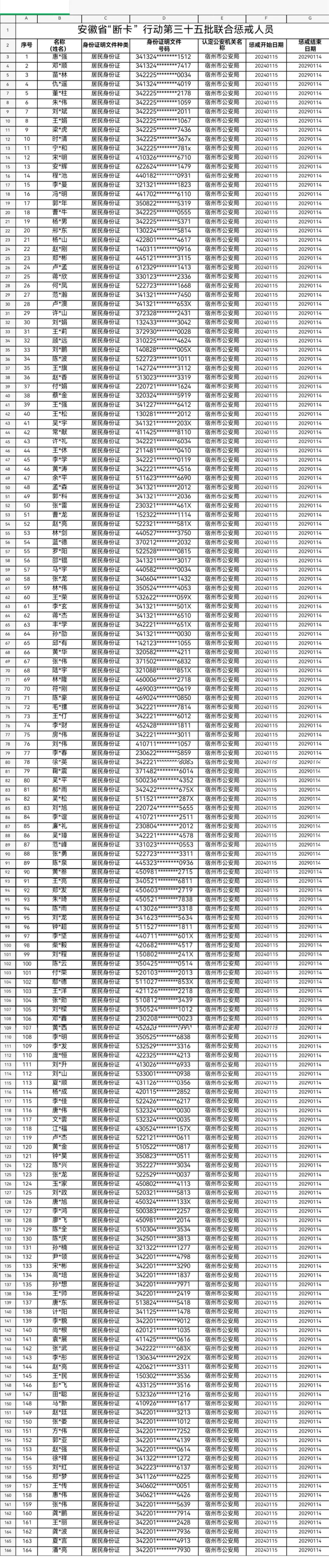
【权威发布】宿州164个单位和人员受到严厉惩戒!
文章来源:宿州市公安局 浏览量:
发表时间:2024-01-09 15:31
责任编辑:宿州信息公开010
为严厉打击整治非法开办贩卖手机卡、银行卡违法犯罪,坚决遏制电信网络诈骗犯罪的高发态势,切实维护社会治安大局稳定,安徽省打击治理电信网络新型违法犯罪工作联席会议办公室公布“断卡”行动第三十五批联合惩戒名单。

被惩戒人员有异议的,可通过拨打市级公安机关反电诈咨询电话:区号+96110或省级公安机关(0551-62801012)等方式进行申诉。
扫一扫在手机打开当前页
皖公网安备 34130202000397号